

展訊預告:由四川民族學院主辦,四川民族學院黨(dang) 委宣傳(chuan) 部、四川民族學院科研管理處、四川民族學院教務處聯辦,四川省文聯《現代藝術》雜誌社協辦,四川民族學院美術學院、四川福寶美術館承辦的“格物致知-四川民族學院書(shu) 法研究所首屆學術年展暨全國書(shu) 法名家邀請展”將於(yu) 11月5日下午3:00在四川福寶美術館舉(ju) 行開幕式,歡迎各界書(shu) 法家、書(shu) 法愛好者屆時前往觀展。
四川民族學院書(shu) 法研究所
2020年10月31日
展覽簡介
格物致知——四川民族學院書(shu) 法研究所首屆學術年展暨全國書(shu) 法名家邀請展是四川民族學院2020-2021學年度的大型學術活動。展覽薈集全國243位書(shu) 法名家的精品力作,參展作者中既有德高望重的老一輩書(shu) 法家,德藝雙馨的高校教授、博士,又有極具實力的中青年書(shu) 法家,還有虔誠於(yu) 藏學傳(chuan) 統的藏文書(shu) 法家。展覽規模大,層次高,二百餘(yu) 件書(shu) 法作品取法各異,呈現出多元的文化特質和風格形態,體(ti) 現出各位書(shu) 法家的藝術創造力,也輪廓式地勾勒出當代書(shu) 法創作的基本麵貌。
宋明理學中的“格物致知”所指涉的“本體(ti) ”與(yu) “工夫”,其認識論、本體(ti) 論和倫(lun) 理學的精神內(nei) 核在今天的高校文化建設中有著重要的現實意義(yi) 。“本體(ti) ”之於(yu) 當代學子的心性道德與(yu) 人格錘煉,“工夫”之於(yu) 高校師生的學問實踐與(yu) 智慧啟迪,都可通過“格物窮理”的不斷探索和“致良知”的不斷內(nei) 省,從(cong) 而最終實現“知行合一”的具有獨立思想的人。而中國書(shu) 法這一有享著“中國文化核心的核心”美譽的文化形態,在當代的高等教育中更應有著“為(wei) 天地立心,為(wei) 生民立命,為(wei) 往聖繼絕學,為(wei) 萬(wan) 世開太平”的時代擔當。
四川民族學院在三十餘(yu) 年的辦學過程中一直堅持以德育引領美育,以美育賦能德育,學院希望以此次展覽為(wei) 契機,與(yu) 全國書(shu) 法界、兄弟院校共同探討中國書(shu) 法在高等美育中傳(chuan) 承與(yu) 創新,探討中國書(shu) 法在傳(chuan) 承文化和培養(yang) 審美能力中的意義(yi) 與(yu) 作用。追尋中國書(shu) 法文化的精神內(nei) 涵,探究中國傳(chuan) 統文化的本質特征,將道與(yu) 器相協調,努力使書(shu) 法文化成為(wei) 塑造當代青年高尚人格和自由意誌的有效路徑,當是我輩的責任與(yu) 使命。
展覽序言


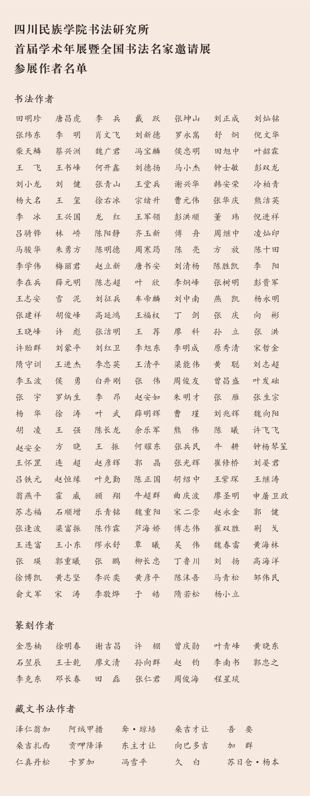
參展作者

格物致知
四川民族學院書(shu) 法研究所
首屆學術年展暨全國書(shu) 法名家邀請展
展覽主辦
四川民族學院
展覽聯辦
四川民族學院黨(dang) 委宣傳(chuan) 部
四川民族學院科研管理處
四川民族學院教務處
展覽協辦
四川省文聯《現代藝術》雜誌社
展覽承辦
四川民族學院美術學院
四川福寶美術館
策展人
劉康楊 彭貴軍(jun)
展覽地點
成都市成華區槐庭路60號
四川福寶美術館
展覽開幕
2020年11月5日下午3:00
